Range SearchCS240E: Data Structures and Data Management (Enriched)David Duan, 2019 WinterPartition TreesQuadtreesExampleDictionary OperationsRange SearchHeight AnalysisRemarkskd-TreesExampleHeight AnalysisDictionary OperationsComplexityRange SearchRange Search AnalysisHigher DimensionsRange Trees(Balanced) BST Range SearchStrategyExamplePseudocodeAnalysis2D Range TreesSpaceDictionary OperationsNo Rotation in Primary TreeRange SearchHigher DimensionThree-Sided Range Query
A tree with leaves where
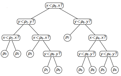
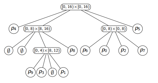
Given points in the place and assume all points are bounded by a box of the form 1, we construct a quadtree on as follows:
Given the following points in the left, we recursively partition the square into smaller regions, until each region contains at most one point, i.e., the right picture.
The computer stores the quadtree as shown in the left, but we could ignore the empty regions/nodes and instead label the edges.
Search: Analogous to BSTs and tries.
Insert: search for the new point (for where it should be), now split the region (repeatedly if necessary) until the new point is in a region of its own.
Let be a quadtree, be the square corresponding to , and be our query rectangle. We can classify nodes in the quadtree as follows:
We have four cases to deal with:
Define to be the spread factor of points in :
Then the height of a quadtree is bounded by
Note that if the minimum distance between two points are small, the height could very large.
In 3D, we have oct-trees; in 1D, we get a trie! 2
Instead of blindly cutting regions into the same size (Trie), we now split the points so that the set of points is cut in roughly half (BST).
On the first cut, we use a vertical line to split the dataset according to the -coordinates; on the next cut, we use a horizontal line to split each subset based on the -coordinates. We repeat this procedure until every point is in its own region.
To construct a kd-Tree with initial split by on :
Just like quadtrees can be seen as 2D tries, kd-trees can be seen as 2D BST or decision trees.


Recall in construction procedure, we split along the line through the point that is -th in or direction. Thus, we have at most points in the bottom/left region, but we don't have a clear bound on the right/top side as we can't guarantee how many are sitting on the median line. For example, consider the following extreme case:
Our "decision tree" built here has an infinite height, because on each level, the left subtree is always empty and the right subtree contains the same elements; the problem size doesn't decrease as we go deeper into the tree. This shows us that kd-trees have even worse performance than quadtrees in theory.
However, given the input is nice (general position, i.e., no two or -coordinates are the same), if you split by the median, you are essentially creating a very balanced BST, where points on one side and the other side. Thus, the height is in .
Search: Analogous to BSTs and tries.
Insert: To keep our height , we could track our height and rebuild a subtree after insertion if needed as in scapegoat trees.
Build:
Search: given the input is nice.
Insert: Amortized .
The procedure for kd-trees are almost identical to quadtree's:
Recall color coding from before:
We want to show that if the points are in general position (i.e., no coinciding coordinates), then there are green nodes. It is enough to show there are nodes for which the region intersects the left side of .

Let the squiggly line represent the left side of ; we want to count how many regions intersects it. During our first split, we can get rid of the right side as we know none of those nodes will intersect the line. During our second split, however, since we are cutting horizontally, we cannot guarantee one of the two sub-regions on the left side has no node intersecting the line. Thus, we must check both sub-regions next time. Therefore, we need to process nodes (both sub-regions on the left side) plus the green nodes we just processed (root node and second layer ).
More strictly speaking, let be the number of nodes in a kd-tree that stores points whose region intersects a vertical segment. We have the following recursion:
Therefore, given the tree is balanced (i.e., the input is nice), the comlplexity of a range search in kd-trees is where is the size of output.
For a -dimensional space,
Complexity (assume that points share coordinates and is a constant):
We now present a new data structure which provides much faster range query operation but requires more than linear space.
Search for in : returns a path .
Search for in : returns a path .
Partition nodes of into three groups:
Report all allocation nodes; test each boundary node and report it if in range.

; .
The following algorithm returns keys in that are in range in sorted order.
Assume the BST is balanced. Then so we have boundary nodes; testing each of them requires time. Next, recall is an allocation node if it is not in or but its parent is (not both); if parent in , is a right child; if parent in , is a left child. Since query stops at the topmost level (of allocation nodes) and there are nodes on and , they take time. Finally, reporting all results takes , so overall time.
Given points , a range tree is a tree of trees (a multi-level data structure), where

Every node in the primary data structure has an associated data structure, which contains the same set of descendents of this node, but potentially in a different order.
Note that each point is in the associated data structure for all its ancestors. Since we are forcing a scapegoat tree as the primary data structure, each node has ancestors. Thus, each node is in associated trees. There are nodes in the primary tree, the overall auxiliary space needed is .
: Search for in the primary tree , time. Note that could exists repeatedly as coordinates, so we need to solve the tie-breaking rule to find all of them. The safest choice is to compare coordinates. Then search for in the associated secondary tree, time.
: Insert into the primary tree , time. For each of the nodes on the path to the insertion point, insert to the associated -tree, so overall .
We don't want to rotate the primary tree, because then the associated trees will be messed up. Because we use scapegoat trees,
Thus, we can do a range query in a range tree in time where is the output size.
Range trees can be generalized to -dimensional space (time-space trade-off compared to kd-trees:)
| Range Trees | kD-Trees | |
|---|---|---|
| Space | ||
| Construction | ||
| RangeQuery |
Assume we query .
Idea I Use associated data structures.
Primary: scapegoat tree
Associated: binary heap (recall from A1, we could find all elements larger than in time).
Query:
Disadvantage: wasting space.
Idea II Use treaps: combining BST with heaps.
Only structure: treap.
Query:
Disadvantage: We cannot bound the height for treaps.
Idea III Separate where the point is stored from the -coordinate used for split.